(Ed. 2024-25)


Simulación de un péndulo y modelo "surrogate" del mismo


Simulación de un péndulo normal e invertido con PID (bloque "super loop") - (ejemplo ejecutable en línea)
Simulación de simulación de un péndulo con un modelo surrogate basado en red neuronal (TensorFlow)- (ejemplo ejecutable en línea)
Noción de PID - (clase magistral de Alan Oppenheim (1987) - MIT)


Ecuación de la Mecánica del péndulo (normal e invertido)

La ecuación diferencial rectora del sistema es:


Para solucionar la ecuación rectora numéricamente podemos aplicar el método de Euler. Hay diversas opciones para substituir las derivadas según la siguiente tabla (del libro "Excel for Sciencists and Engineers"):



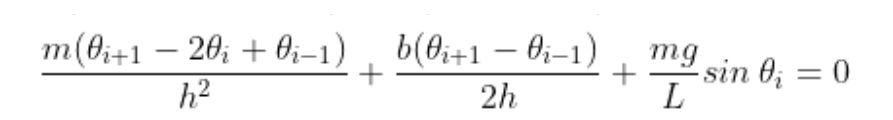
La ecuación diferencial se convierte en una ecuación de diferencias implícita tal como f(θi+1, θi, θi-1) = 0.

En este caso es posible despejar θi+1 en función de θi y θi-1 y obtener una fórmula recurrente:



De no ser posible aislar θi+1, ésta se podría obtener como una raíz de f(θi+1, θi, θi-1) = 0 mediante un método numérico como el de Newton-Raphson.